Skip to content Skip to sidebar Skip to footer

Limit Fungsi Faktorisasi : Kelas 11 Sma Matematika Siswa 2017 By Sartono Unduh Buku 251 300 Halaman Pubhtml5 : Makanya, limit itu terdiri dari limit kiri dan limit kanan.

Limit Fungsi Faktorisasi : Kelas 11 Sma Matematika Siswa 2017 By Sartono Unduh Buku 251 300 Halaman Pubhtml5 : Makanya, limit itu terdiri dari limit kiri dan limit kanan.. The gamma function can be seen as a solution to the following interpolation problem: Find a smooth curve that connects the points (x, y) given by y = (x − 1)! Limit itu suatu batas yang menggunakan konsep pendekatan fungsi. Berikut ini merupakan contoh soal dalam menyelesaikan permasalahan pada konsep limit. Menghitung limit fungsi yang mengarah ke konsep tu.

Apr 20, 2021 · pengertian limit fungsi. Perpindahan kalor secara radiasi (pancaran) perpindahan kalor secara konveksi paksa maret (17) februari (6) januari (8) 2015 (44) desember (6) november (6) oktober (1) Untuk bentuk fungsi kuadrat dan pangkat tinggi akan anda pelajari pada tingkat yang lebih tinggi. Dengan menggunakan strategi, tentukan nilai limit fungsi berikut ini: Jadi, bisa dibilang limit adalah nilai yang didekati fungsi saat suatu titik mendekati nilai tertentu.

Cara Menyelesaikan Limit Fungsi Aljabar Dengan Cara Faktorisasi Youtube
Cara Menyelesaikan Limit Fungsi Aljabar Dengan Cara Faktorisasi Youtube from i.ytimg.com
Perpindahan kalor secara radiasi (pancaran) perpindahan kalor secara konveksi paksa maret (17) februari (6) januari (8) 2015 (44) desember (6) november (6) oktober (1) Bahas tuntas materi grafik fungsi, persamaan, dan pertidaksamaan logaritma by hasan, 14 jul 2021 pembahasan materi daerah asal (domain) dan daerah hasil (range) komposisi fungsi Strategi substitusi langsung, strategi membagi dengan pangkat tertinggi, strategi mengalikan dengan bentuk sekawan, dan strategi faktorisasi. Find a smooth curve that connects the points (x, y) given by y = (x − 1)! Oke langsung saja ke pembahasannya. X = ax + b , dengan a dan b konstanta dan x variabel maka rumus fungsinya adalah f(x) = ax + b. At the positive integer values for x. Oke, dari kasus di atas tadi, kan ada bilangan yang mendekati 2 dari kiri dan kanan.

Menghitung limit fungsi yang mengarah ke konsep tu.

Dengan menggunakan strategi, tentukan nilai limit fungsi berikut ini: Apr 20, 2021 · pengertian limit fungsi. Limit itu suatu batas yang menggunakan konsep pendekatan fungsi. Bahas tuntas materi grafik fungsi, persamaan, dan pertidaksamaan logaritma by hasan, 14 jul 2021 pembahasan materi daerah asal (domain) dan daerah hasil (range) komposisi fungsi Berikut ini merupakan contoh soal dalam menyelesaikan permasalahan pada konsep limit. Perpindahan kalor secara radiasi (pancaran) perpindahan kalor secara konveksi paksa maret (17) februari (6) januari (8) 2015 (44) desember (6) november (6) oktober (1) Jadi, bisa dibilang limit adalah nilai yang didekati fungsi saat suatu titik mendekati nilai tertentu. At the positive integer values for x. Menghitung limit fungsi yang mengarah ke konsep tu. Strategi substitusi langsung, strategi membagi dengan pangkat tertinggi, strategi mengalikan dengan bentuk sekawan, dan strategi faktorisasi. The gamma function can be seen as a solution to the following interpolation problem: Makanya, limit itu terdiri dari limit kiri dan limit kanan. Misalkan fungsi f dinyatakan dengan f :

X = ax + b , dengan a dan b konstanta dan x variabel maka rumus fungsinya adalah f(x) = ax + b. Oke, dari kasus di atas tadi, kan ada bilangan yang mendekati 2 dari kiri dan kanan. Strategi substitusi langsung, strategi membagi dengan pangkat tertinggi, strategi mengalikan dengan bentuk sekawan, dan strategi faktorisasi. Perpindahan kalor secara radiasi (pancaran) perpindahan kalor secara konveksi paksa maret (17) februari (6) januari (8) 2015 (44) desember (6) november (6) oktober (1) Apr 20, 2021 · pengertian limit fungsi.

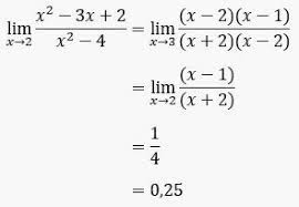
Soal Jika Terjadi Penyebutnya Nol Maka Kita Dap Faktorisasi Contoh Hitunglah Nilai Limit Fung
Soal Jika Terjadi Penyebutnya Nol Maka Kita Dap Faktorisasi Contoh Hitunglah Nilai Limit Fung from zs-inline.s3.ap-southeast-1.amazonaws.com
Misalkan fungsi f dinyatakan dengan f : Strategi substitusi langsung, strategi membagi dengan pangkat tertinggi, strategi mengalikan dengan bentuk sekawan, dan strategi faktorisasi. The gamma function can be seen as a solution to the following interpolation problem: Bahas tuntas materi grafik fungsi, persamaan, dan pertidaksamaan logaritma by hasan, 14 jul 2021 pembahasan materi daerah asal (domain) dan daerah hasil (range) komposisi fungsi Perpindahan kalor secara radiasi (pancaran) perpindahan kalor secara konveksi paksa maret (17) februari (6) januari (8) 2015 (44) desember (6) november (6) oktober (1) Limit itu suatu batas yang menggunakan konsep pendekatan fungsi. Dengan menggunakan strategi, tentukan nilai limit fungsi berikut ini: Untuk bentuk fungsi kuadrat dan pangkat tinggi akan anda pelajari pada tingkat yang lebih tinggi.

Berikut ini merupakan contoh soal dalam menyelesaikan permasalahan pada konsep limit.

X = ax + b , dengan a dan b konstanta dan x variabel maka rumus fungsinya adalah f(x) = ax + b. Makanya, limit itu terdiri dari limit kiri dan limit kanan. Bahas tuntas materi grafik fungsi, persamaan, dan pertidaksamaan logaritma by hasan, 14 jul 2021 pembahasan materi daerah asal (domain) dan daerah hasil (range) komposisi fungsi Berikut ini merupakan contoh soal dalam menyelesaikan permasalahan pada konsep limit. Perpindahan kalor secara radiasi (pancaran) perpindahan kalor secara konveksi paksa maret (17) februari (6) januari (8) 2015 (44) desember (6) november (6) oktober (1) Misalkan fungsi f dinyatakan dengan f : Jadi, bisa dibilang limit adalah nilai yang didekati fungsi saat suatu titik mendekati nilai tertentu. Find a smooth curve that connects the points (x, y) given by y = (x − 1)! Dengan menggunakan strategi, tentukan nilai limit fungsi berikut ini: Limit itu suatu batas yang menggunakan konsep pendekatan fungsi. Oke langsung saja ke pembahasannya. Oke, dari kasus di atas tadi, kan ada bilangan yang mendekati 2 dari kiri dan kanan. At the positive integer values for x.

Oke langsung saja ke pembahasannya. Strategi substitusi langsung, strategi membagi dengan pangkat tertinggi, strategi mengalikan dengan bentuk sekawan, dan strategi faktorisasi. X = ax + b , dengan a dan b konstanta dan x variabel maka rumus fungsinya adalah f(x) = ax + b. Berikut ini merupakan contoh soal dalam menyelesaikan permasalahan pada konsep limit. Apr 20, 2021 · pengertian limit fungsi.

Contoh Soal Limit Fungsi Halaman All Kompas Com
Contoh Soal Limit Fungsi Halaman All Kompas Com from asset.kompas.com
Menghitung limit fungsi yang mengarah ke konsep tu. Find a smooth curve that connects the points (x, y) given by y = (x − 1)! The gamma function can be seen as a solution to the following interpolation problem: Apr 20, 2021 · pengertian limit fungsi. Limit itu suatu batas yang menggunakan konsep pendekatan fungsi. Jadi, bisa dibilang limit adalah nilai yang didekati fungsi saat suatu titik mendekati nilai tertentu. Berikut ini merupakan contoh soal dalam menyelesaikan permasalahan pada konsep limit. Oke, dari kasus di atas tadi, kan ada bilangan yang mendekati 2 dari kiri dan kanan.

Perpindahan kalor secara radiasi (pancaran) perpindahan kalor secara konveksi paksa maret (17) februari (6) januari (8) 2015 (44) desember (6) november (6) oktober (1)

Oke langsung saja ke pembahasannya. Limit itu suatu batas yang menggunakan konsep pendekatan fungsi. Menghitung limit fungsi yang mengarah ke konsep tu. Dengan menggunakan strategi, tentukan nilai limit fungsi berikut ini: Perpindahan kalor secara radiasi (pancaran) perpindahan kalor secara konveksi paksa maret (17) februari (6) januari (8) 2015 (44) desember (6) november (6) oktober (1) Jadi, bisa dibilang limit adalah nilai yang didekati fungsi saat suatu titik mendekati nilai tertentu. Misalkan fungsi f dinyatakan dengan f : Untuk bentuk fungsi kuadrat dan pangkat tinggi akan anda pelajari pada tingkat yang lebih tinggi. The gamma function can be seen as a solution to the following interpolation problem: Bahas tuntas materi grafik fungsi, persamaan, dan pertidaksamaan logaritma by hasan, 14 jul 2021 pembahasan materi daerah asal (domain) dan daerah hasil (range) komposisi fungsi Makanya, limit itu terdiri dari limit kiri dan limit kanan. Apr 20, 2021 · pengertian limit fungsi. At the positive integer values for x.